ファスマック / グライナー・ジャパン ID: J00924

PNA(ペプチド核酸)合成 ID: J00924

これまでのDNAでは検出できなかったものがPNAでは検出可能です。

サービスについて

概要

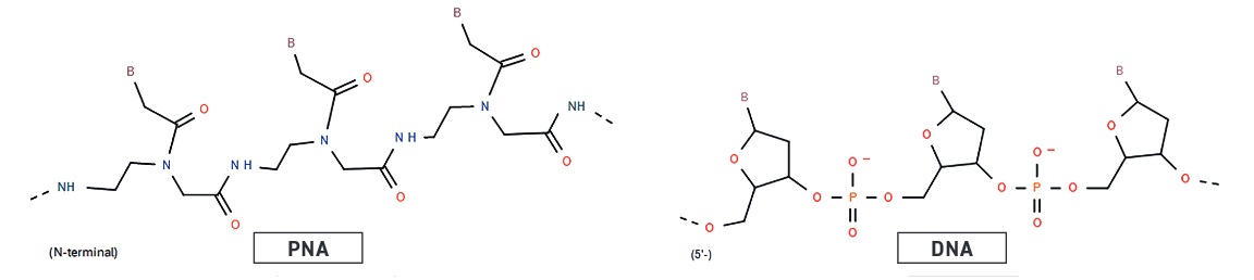
PNA(ペプチド核酸)はDNA類似の構造をもつ非天然の化合物です。(fig.1
その構造はDNAやRNAとは異なり、リン酸結合ではなくペプチド結合で骨格を形成している事よりペプチド核酸と呼ばれています。
PNAはアンチセンスやプローブとして優れた特性を有します。従来のDNAに見られたリン酸基による負電荷の反発がPNAでは解消されているために、より強くハイブリダイズし、相補鎖認識力も向上しています。

  • 短時間で高感度に目的の核酸を検出できる。
  • 配列中の1塩基置換を容易に検出可能な物質として注目されています。
そのためアンチセンス医薬品、臨床診断薬あるいは分子生物学研究用試薬などの様々な応用研究への利用が期待されています。
これまでのDNAでは検出できなかったものがPNAでは検出可能です。
最近の論文ではその優れた効果が多数報告されています。ぜひ一度ご検討ください。

PNAの特徴

  1. 相補的配列を有するDNAおよびRNA鎖に塩基配列特異的に強く結合します。
    PNAの熱安定性(各15mer)
    DuplexTm値
    PNA/DNA69℃
    DNA/DNA54℃
    PNA/RNA72℃
    DNA/RNA50℃

    PNAはDNA/RNAよりもTm値が高い事より、その結合の強さが分かります。 そのため短時間で高感度に目的の核酸を検出できます。DNAプローブで検出できなかったものでもPNAではその検出が期待できます。

  2. 低いイオン強度においても強くハイブリダイズが可能。
    各塩濃度におけるTm値の比較
    塩濃度PNA/DNADNA/DNA
    0mM72℃38℃
    140mM69℃56℃
    1,000mM65℃65℃

    低塩濃度の状態でも相補鎖に強くハイブリダイズし、取り扱いが容易です。
    DNAのようなhybridizationの条件を検討する作業が簡単にできハイブリダイズの時間短縮が可能です。

  3. 塩基配列の選択性が高い。
    ミスマッチにより生ずるTm値の差
    DuplexTmの減少量
    PNA/DNA8~21℃
    DNA/DNA4~16℃

    Tm値の差が大きい事よりDNAよりも塩基配列選択性が高い事が分かります。そのため1塩基置換が検出可能です。
    PCR clamping法を用いて1塩基置換検出を容易に検出した例が報告されています。

  4. ヌクレアーゼやプロテアーゼに対して耐性があります。

    核酸とペプチドの構造を合わせ持つために消化酵素に耐性があります。そのため取り扱いが非常に容易です。
    また、細胞内での分解も防げ、アンチセンスとして効果が期待できます。

PNAの主な用途

  • Antisense/Antigene
  • Detection of rare mutants
  • Arrays
  • PCR clamping
  • FISH or In situ hybridization probe
  • Southern/northern and Pregel hybridization probe
その他、様々な用途でPNAは用いられています。

配列に関するガイドライン

PNAは合成できる配列に以下のような制限があります。

[鎖長]
合成できる長さは18mer以内です。
ただしリンカー、各種ラベルは塩基数にカウントしません。
19塩基以上をご希望の際はお問い合わせください。

[プリン(AとG)含量]
プリンリッチな配列はアグリゲーションを起こしたり、溶解性が低い場合がありますので次の事項にしたがってください。
  1. 10塩基中プリン塩基が8個以上含んではいけない。
  2. プリン塩基が6個以上連続してはいけない。
  3. 特にGは5個以上連続してはいけない
  4. 自己相補的な配列はなるべく避ける

* 上記の配列が避けられない場合は、相補鎖を検討してください。
* それでも不可能な時は別の配列を検討してください。
* 上記の制限にあたる配列をご希望の際は一度お問い合わせください

ご注文に関して

お問い合わせフォーム よりお問い合わせください。

参考価格・納期

サービス項目 価格(税抜) 納期
PNA(ペプチド核酸)合成 お問い合わせ お問い合わせ

関連サイト